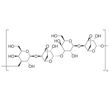
CAS NO.9012-36-6 Agarose

98.0% White solid powder

Your inquiry will be sent to the sales personnel directly, a response will be within 24 hours.

CAS NO.

9012-36-6

Name

Agarose

MF

C10H15N3O3

MW

N/A

Appearance

White solid powder

Purity

Gel strength(1% Gel) 1200/cm2

application

Suitable for DNA/RNA gel electrophoresis.

Detail

We offer quantities ranging from grams (g) to kilograms (KG). Shipping is via express, air, or sea to the customer's address; Please contact us for information on storage conditions.We also provide documentation such as COA, NMR, MSDS, HPLC, or GC.


Quick Inquiry